您现在的位置是:首页 > 变频技术 > 变频技术
车床实施变频调速时对拖动系统的容量有什么影
来源:艾特贸易2017-06-04
简介为了便于说明问题,通过实例来进行分析。 1 .实例及基本数据 某意大利产 SAG 型精密车床,基本数据如下: (1) 主轴转速共分八挡: 75 r/min 、 120r/min 、 200r/min 、 300r/min 、 500r/min 、
为了便于说明问题,通过实例来进行分析。 1.实例及基本数据 某意大利产SAG型精密车床,基本数据如下: (1)主轴转速共分八挡:75 r/min、120r/min、200r/min、300r/min、500r/min、800r/min、1 200r/min、2 000r/min。 (2)电动机额定数据:2.2kW,5A,1 420r/min。 (3)车床的计算转速:根据机械工程师提供的数据,计算转速为 nD= 300r/min 即:nL≤300r/min为恒转矩区;nL≥500r/min为恒功率区。 2.主要计算数据 (1)各挡转速下的负载转矩负载的实际功率按2kW计算,则各挡转速下负载转矩的计算结果见表6-23。 表6-23 各挡转速下的负载转矩
(2)电动机的额定转矩
3.拖动系统的反折算 为了便于在电动机转矩和负载转矩之间进行比较,把电动机轴上的转矩和转速都反过来折算到负载轴上。反折算的公式如下: (1)转速的反折算
(6-11)式中n′M-电动机转速折算到负载轴上的折算转速( r/min); nM -电动机的转速( r/min); λ-传动比; nL-负载的转速( r/min)。 (2)转矩的反折算 T′M= TMλ (6-12)式中 T′M-电动机转矩折算到负载轴上的折算转矩(N·m); TM-电动机的转矩(N·m)。 4.对拖动系统容量的分析 (1)在额定频率以下调节如图6-38所示,车床的机械特性如曲线①所示;电动机的有效转矩线如曲线②。这时,电动机须满足
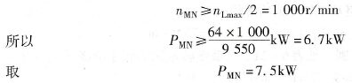
可见,所需电动机的容量比原来增大了近7倍。 (2)在二倍频率以下调节。因为车床的大部分机械特性属于恒功率性质,而电动机在额定频率以上的有效转矩线也具有恒功率性质,因此,从充分利用电动机的潜能出发,将电动机的最高工作频率增大为100Hz。这时,电动机的有效转矩线如图6-39曲线③所示。
图6-38 额频以下带车床
图6-39 二倍频以下带车床 在这种情况下,电动机的额定转速只需和负载最高转速的(1/2)相等就可以了,即
与额频以下相比,电动机容量减小了一半,但仍比负载所需功率增大了3倍多。 (3)两挡传动比电动机和负载之间的传动比分成两挡: 低速时负载转矩大,故传动比较大;高速时负载转矩小,故传动比也较小。 这时,电动机折算到负载轴上的机械特性如图6-40中曲线④和④′所示。曲线④是低速挡(传动比较大)时的有效转矩线;曲线④′是高速挡(传动比较小)时的有效转矩线。
图6-40 两挡传动比带车床 由图知,在这种情况下,电动机的有效转矩线与负载的机械特性曲线十分贴近,其额定转速只需与负载的计算转速相当即可
可见,如采用两挡传动比,原来的电动机可以留用,而不必增大其容量了。
