您现在的位置是:首页 > 变频技术 > 变频技术
怎样减小拖动系统的容量?
来源:艾特贸易2017-06-04
简介电动机的功率比负载实际所需要的功率大许多倍,这肯定是很不经济的,应设法改进,就改进的途径说明如下: 1 .基本考虑 考虑到电动机在 fxfN 时的有效转矩线也具有恒功率性质,所
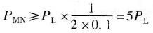
电动机的功率比负载实际所需要的功率大许多倍,这肯定是很不经济的,应设法改进,就改进的途径说明如下: 1.基本考虑 考虑到电动机在fx>fN时的有效转矩线也具有恒功率性质,所以,应该尽量利用电动机的恒功率区来带动恒功率负载,使两者的特性比较地吻合。 (1)设fmax=2fN (100Hz) 当fmax=2fN时,电动机的额定转速只需满足负载最高转速的一半就可以了,即 nMN≥nmax/2 从而,电动机的额定功率也可以减小一半,即
当卷辊的最小直径为0. 1m,最大直径为1m时,电动机的额定功率为
可见,电动机的功率减小了一半,但仍比负载功率大了5倍。 需要注意的是,因为电动机的最高转速比原来增大了1倍,则传动比λ′也必增大1倍。图6-32 (a)画出了传动比增大后的有效转矩线如曲线②所示(曲线①是负载的机械特性)。
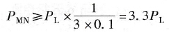
图6-32 多倍频率带卷取机 (a)二倍频率带卷取机;(b)三倍频率带卷取机 (2)设fmax=3fN(150Hz) 当fmax=3fN时,电动机的额定转速可以进一步减小,即 nMN≥nmax/3 从而,电动机的额定功率也可以减小为
当卷辊的最小直径为0. 1m,最大直径为1m时,电动机的额定功率为
同样需要注意的是,传动比必须作相应的调整。 2.电动机大于3fN(如180Hz)的可能性 一般说来,电动机如果在3fN (150Hz)下长时间运行是不适宜的。但卷绕机械因为在卷绕开始时转速很快,卷辊的半径增大得也很快,所以,在最高频率下停留的时间极短。实践经验证明,在卷绕机械的具体工况下,适当提高起始频率是可行的。
