您现在的位置是:首页 > 变频技术 > 变频技术
根据电动机的运行方式选择变频器容量(功率)
来源:艾特贸易2017-06-04
简介①一台变频器驱动一台电动机。变频器的工作电流应满足 I1.1Im (2-7) 式中 I- 变频器额定输出电流, A; Im- 电动机最大工作电流,详见电动机参数,该电流值与电动机种类、极数等有关,
①一台变频器驱动一台电动机。变频器的工作电流应满足 I>1.1Im (2-7)式中I-变频器额定输出电流,A; Im-电动机最大工作电流,详见电动机参数,该电流值与电动机种类、极数等有关,当最大电流小于额定电流 (铭牌值)时取额定电流。 ②一台变频器驱动多台电动机 a.n台电动机同时启动、停止,变频器工作电流应满足 I>1.1∑IM (2-8)式中 ∑IM -n台变频器输出电流的总和。 b.先投入n1台,后投入n2后,变频器工作电流应满足
(2-9)式中 Ist-电动机的启动电流,A。 这种运行方式的缺点是,因电动机直接启动的影响变频器容量必须选得很大,一旦启动过程结束,电动机的实际工作电流却很小,变频器的利用率低,经济性不高。非特殊需要不应采取此种方式。 ③电动机周期性运行 指电动机周期性地加速或减速,电流变化有一定规律,则变频器的额定电流应满足
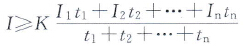
(2-10)式中 I1,I2,…In-1周期内各电动机电流,A; t1,t2,…tn-1周期各电动机的运行时间,s; K-系数,通常取1.2。 ④电动机非周期性运行 I≥KIm(2-11)式中 Im-电动机可输出的最大电流,A,可查; K-系数,通常取1.05。 ⑤电动机快速加减速。生产实际中为了提高作业效率,常常要求电动机在很短的时间里骤加速和骤减速,例如要求加速和减速时间极短情况下才能实现准确对位操作的集装箱起重机变频传动系统,此时变频器容量不能按常规方法确定,其功率要相应放大,否则会因瞬间峰值电流过大或持续过载而使电流过载跳闸,以致变频器无法正常工作。容量需放大的倍数与加速时间和减速时间的长短有关,通常情况需放大2~3倍为宜。另外要求快速响应的变频传动系统,加速和减速时间也是越短越好,因此原则上都应以电动机的实际加速电流的大小来确定变频器的容量。同样,骤减速必须通过内置或外置与变频器容量相匹配的制动单元,以此获得足够大的制动电流来实现。
