您现在的位置是:首页 > 变频技术 > 变频技术
变频器驱动系统中选定电机的重复短时工作制运
来源:艾特贸易2017-06-04
简介当负载为停歇式负载时,采用 ZC 和工作时间来表示。 ZC 为负荷持续率,即在重复短时工作制中的一个周期内加载时间与周期时间的比率 t1/(t1+f2) ,其中 t1 为加载时间, t2 为停止时间。
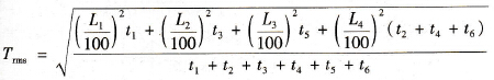
当负载为停歇式负载时,采用ZC和工作时间来表示。ZC为负荷持续率,即在重复短时工作制中的一个周期内加载时间与周期时间的比率t1/(t1+f2),其中t1为加载时间,t2为停止时间。如图4-27所示的断续负载,若设定负载转矩的等价有效值为Trms,则
图4-26 泵的全扬程一流量特性 (实际扬程ha=0.6[p.u.])
图4-27 断续负载 L1%~L4%-相对50Hz额定转矩的百分数;t1~t6-时间(每周期不超过600s)
(4-31) Trms若小于电动机产品说明书中列出的连续运转转矩,则认为是合适。但是,瞬时最大转矩不能超过图4-6所示的短时运转转矩及规定的工作时间定额。例如,在图4-6之中,若以f1运转时,各转矩L1~L4必须在最大转矩TM之下,Trms在Ts之下。 再有,由于短时工作制运转时不断的进行起动、停止,为了得到起动时、稳速运转时、减速时的电流,必须同样如式4-31进行等价有效值Irms的计算。此Irms若在相应周期平均速度图4-6中连续运转转矩所对应的电流值以下,则可认为适合。
