您现在的位置是:首页 > 变频技术 > 变频技术
电压型变频器中变压器作用
来源:艾特贸易2017-06-04
简介变压器的作用是将供电电网的高压电源转换为变频器所需要的电压( 200V 或 400V )。对于以电压型变频器为负载的变压器来说,在决定其容量时应该考虑的因素为接通变频器时的冲击电
变压器的作用是将供电电网的高压电源转换为变频器所需要的电压(200V或400V)。对于以电压型变频器为负载的变压器来说,在决定其容量时应该考虑的因素为接通变频器时的冲击电流和由此造成的变压器副边的压降。 一般说来,变压器的容量可以选为变频器容量的1.5倍左右。在进行变压器容量的具体计算时可以参考式5-2。
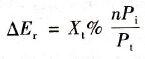
(5-2)式中P-变频器输出功率(被驱动电机的总容量),kW; ρf-变频器的输入功率因数(无输入电抗器时为0.6~0.8,有输入电抗器时为0.8~0. 85); η-变频器效率(约为0. 95,PWM控制变频器的场合)。 由于变频器输入功率因数因电源的容量(电源阻抗)而异,在进行计算时做了上面的假设。 在初步选择了变压器容量之后,下一步要考虑的问题为接通变频器时变压器副边的电压降问题。 变频器的工作过程是一个交流→直流→交流的电源转换过程。在电压型变频器中,为了得到质量较高的直流电压,在其直流中间电路中设有大容量的平滑电容。当接通变频器电源时,平滑电容将被充电并在充电过程中流入较大的浪涌电流,而这个浪涌电流又将给变压器副边带来一个短时间的电压降。为了抑制这种现象的影响,通常在变频器内部设有限流电阻,将浪涌电流的峰值限制在额定电流的2~3倍左右。但是,当变压器的容量不够大时,因为上述电压降所占比重相对较大,所以有可能使变频器因供电电压过低(低于额定电压的15%~25%)而出现跳闸现象。因此,希望在接通变频器时变压器副边的压降能够保持在10%以下。 变压器副边的电压降可以通过式5-3求得。当求得的电压降超过10%时,则应重新考虑根据式5-2求得的变压器容量。
(5-3)式中 Pi-变频器合计总容量,kVA; Pt-变压器容量,kVA; Xt%-以百分比表示的变压器阻抗; n-接通电源时的电流倍数(通常为额定电流的2~3倍)。
