您现在的位置是:首页 > 变频技术 > 变频技术
变频器的柜内安装和冷却方式
来源:艾特贸易2017-06-04
简介前面我们已经提到了环境温度对变频器的重要性。为了保证变频器所处的环境温度在厂家要求的范围之内,正确地对变频器进行柜内安装和冷却是至关重要的。因此下面我们将专门介绍
前面我们已经提到了环境温度对变频器的重要性。为了保证变频器所处的环境温度在厂家要求的范围之内,正确地对变频器进行柜内安装和冷却是至关重要的。因此下面我们将专门介绍一下这方面的内容。 1.安装方式 在将变频器安装在全封闭式的控制柜中时,可以采用将变频器全部安装在控制柜内的方式和如图6-1所示的将变频器本体安装在控制柜内而将散热片留在柜外的方式。与第一种安装方式相比,第二种安装方式可以通过散热片进行内部空气和外部空气之间的热传导,对柜内冷却能力的要求可以低一些,因此更适合于环境空气条件较差的场合。
图6-1 将散热片留在柜外的方式 (必须采取措施使控制柜内部的温度保持在上图所示范围内需要时应安装内部空气循环用风扇) 2.变频器的发热量 为了满足用户进行控制柜设计的需要,变频器厂家通常在产品的技术说明书中给出变频器的发热量的参考数值,如表6-1所示。 在利用类似表格中给出的发热量的数值进行设计计算时应该注意的是,当变频器的散热片留在控制柜外面时应采用表6-1中给出的变频器单元内部发热量,而当变频器整体全部安装在控制柜内时,则应使用变频器的整体发热量。 表6-1 某厂家的通用变频器的发热量(不包括制动电阻的发热量)400V系列
此外,在进行设计计算时,除了变频器本身的发热量之外,还应该考虑到处于同一控制柜内的其他周边设备的发热情况,以保证变频器的正常工作。 3.全封闭式控制柜尺寸的选择 对于全封闭式控制柜来说,其具体尺寸应该由柜内发热量和向柜外的放热量决定,如图6-2所示。图6-2中S=S1+S2+S3+S4,S1为右侧面面积,S2为左侧面面积,S3为顶部面积,S4为前面面积。考虑到设置状态和柜内安装等因素,在计算时不把后面和底面考虑在内。 在决定控制柜的尺寸时可以参照下式进行概略地计算。
(6-1)
(6-2)式中△T-柜内温升,℃; TB-柜内温度,℃; Td-周围温度,℃; S-直接与外部空气接触的控制柜外壳面积,m²; W-柜内发热量,W; q-控制柜外壳放热系数,W/℃·m²。 q≈5W/℃·m²,黑色或接近黑色时。 4.强制通风式控制柜内的安装 对于图6-3所示的强制通风式控制柜来说,变频器发出的热量被通过冷却风扇强制性的排放到控制柜外。在这种情况下,冷却风扇的选择应以柜内的总发热量为基准,并考虑到冷却风量和冷却风压力损失等因素。由于和冷却风扇的放热相比,由辐射和对流所造成的放热量很小,可以忽略不计。
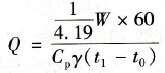
图6-2 全封闭式控制柜 设W为控制柜内的总发热量(kW),而t0为控制柜进气部分的空气温度(℃),则为了将排气温度(近似等于柜内温度)抑制在温度t1(℃)以下时所需的风量为:
(6-3)式中Cp-空气的比热,kJ/(kg·℃); γ-空气的质量密度1.29/(1+0.000367t0),kg/m³。
图6-3 通过强制通风为控制柜换气 (a)-强制通风型控制柜;(b)-控制柜的压力损失模型 而控制柜的风压损失则可以根据图6-4和下式求得。 H=Hi+Hp+Ho (6- 4)式中H-总压力损失,Pa; Hi-进气部分的压力损失,Pa; Hp-柜内压力损失,Pa; Ho-排气部分压力损失,Pa。 一般情况下,假定柜内的压力损失为30Pa。 在考虑控制柜进气部分和排气部分的压力损失时,为了确保能够得到根据式6-4求得的风量Q,应先计算所需的风速v1,然后根据空气过滤器的特性表求出压力损失。而风速v则可以根据下式求得。
(6-5)式中,A为进排气部分的断面面积。 在按照上述步骤求得了所需风量和总的压力损失后,即可以根据这些值和冷却风扇的风量一静压特性表来决定所需风扇的种类和使用个数。
图6-4 空气过滤器风速-压力损失特性(例) 此外,应该注意,当控制柜的进排气口为特殊形状时,或风速过大,以及空气过滤器因尘埃和铁粉等堵塞严重时,压力损失将会增加。因此在这些情况下选择风扇时应该留出一些裕量。
