您现在的位置是:首页 > 变频技术 > 变频技术
变频器低频重载的实例与分析
来源:艾特贸易2017-06-04
简介1 .低频重载的实例某变频调速系统如图 3-31 所示。 (1) 电动机的数据是: 90kW 、 1480r/min 、 164. 3A ,根据计算,电动机的额定转矩等于 580N m 。 (2) 负载的阻转矩等于 2088N m ,根据工艺要
1.低频重载的实例某变频调速系统如图3-31所示。 (1)电动机的数据是:90kW、1480r/min、164. 3A,根据计算,电动机的额定转矩等于580N·m。 (2)负载的阻转矩等于2088N·m,根据工艺要求,上限转速为222r/min,实行变频调速后,对应的上限频率预置为30Hz。减速器的传动比λ=4。实际运行时,最大工作电流为150A。
图3-31 低频重载实例 2.存在问题 (1)从功率上看,负载的运行功率为
另一方面,电动机的工作频率为30Hz时,其有效功率只有
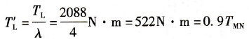
显然,电动机并未充分发挥作用,处于“大马拉小车”的状态。 (2)从转矩看,负载的折算转矩为
再看运行电流,电动机的负载率是
可见,不论从转矩看,还是从运行电流看,都不属于“大马拉小车”。那么,有没有节能余地呢?
