您现在的位置是:首页 > 变频技术 > 变频技术
变频器的相控整流电路
来源:艾特贸易2017-06-04
简介相控整流电路是采用相位控制方式以实现负载端直流电能控制的可控整流电路。一般地说,可控是因为整流元件使用具有控制功能的晶闸管。在这种电路中,只要适当控制晶闸管触发导
相控整流电路是采用相位控制方式以实现负载端直流电能控制的可控整流电路。一般地说,可控是因为整流元件使用具有控制功能的晶闸管。在这种电路中,只要适当控制晶闸管触发导通瞬间的相位角,就能够控制直流负载电压的平均值,故称为相控。 1)单相整流电路 (1)单相半波可控整流电路:图2-12(a)为单相半波可控整流电路。图中ug为晶闸管的触发脉冲,其工作过程如下:当u2负半周时,晶闸管不导通。在u2正半周时,不加触发脉冲之前,晶闸管也不导通,只有加触发脉冲之后,晶闸管才导通,这时负载Rd上流过电流。在电流为零时刻,晶闸管自动关断,为下一次触发导通做好准备,如此循环往复,负载上得到脉动的直流电压Ud。晶闸管从开始承受正向电压起到开始导通这一角度称为控制角,以α表示。这样,只要改变控制角α的大小,即改变触发脉冲出现的时刻,就改变了直流输出电压的平均值。触发脉冲总是在电源周期的同一特定时刻加到晶闸管的控制极上,所以,触发脉冲和电源电压在频率和相位上要配合好,这种协调配合的关系称为同步。 (2)单相全波可控整流电路:图2-12(b)为单相桥式可控整流电路。它与单相半波可控整流电路相比,其变压器利用系数较高,直流侧脉动的基波频率为交流基波的2倍,故为小功率场合常用的整流电路之一。这里,脉波数P的概念很重要。脉波数是在交流电源的一个周期内直流侧输出波形的重复次数。通常,脉波数越多,直流侧输出越平滑,交流侧电流越接近正弦波。为了增加脉波数,可以增加交流侧相数。但是,一般相数增加越多,各相的通电时间变得越短,这样会使整流元件与整流变压器副边绕组的利用率变坏,使装置体积变大,成本提高。 图2-12(c)为单相桥式半控整流电路,由于可控的晶闸管与不控的二极管混合组成,故称半控。F称续流二极管,若直流电压变为负值,它成为直流侧环流的路径,维持输出电压为零。
图2-12 相控整流电路 (a)单相半波;(b)单相全波;(c)单相桥式。 单相整流电路比较简单,对触发电路的要求较低,相位同步问题简单,调整也比较容易,但它的输出直流电压的纹波系数较大。由于它接在电网的一相上,易造成电网负载不平衡,所以一般只用于4kW以下的中小容量的设备上。如果负载较大,一般都用三相电路。 2)三相可控整流电路 在整流容量较大,要求直流电压脉动较小,对快速性有特殊要求的场合,采用三相可控整流电路。这是因为三相整流装置三相是平衡的,输出的直流电压和电流脉动小,对电网影响小,且控制滞后时间短。 图2-13(a)、(c)为三相桥式全控整流电路及其输出电压波形。3-13(b)为全控桥式整流电路在α=0°时的输入电压波形和晶闸管的导通情况。 三相全控桥式整流电路由一组共阴极接法的三相半波可控整流电路和一组共阳极接法的三相半波可控整流电路串联而成,如图2-13(a)所示。 在理想情况下,电路在任何时刻都必须有两个晶闸管导通,一个是共阳极组的,另一个是共阴级组的,只有它们同时导通才能形成导电回路。V1、V2、V3、V4、V5、V6的触发脉冲互差60°。因此,电路每隔60°有一个晶闸管换流,导通次序为V1→V2→V3→V4→V5→V6,每个晶闸管导通120°。在整流电路合闸后,共阴极和共阳级组各有一个晶闸管导通。因此,每个触发脉冲的宽度应大于60°、小于120°,或用两个窄脉冲等效地代替大于60°的宽脉冲,即在向某一个晶闸管送出触发脉冲的同时,向前一个元件补送一个脉冲,称双脉冲触发。整流输出电压波形如图2-13(b)所示。
图2-13 三相桥式全控整流电路及其输出电压波形 当V1、V6导通时,ud=uab;V1、V2导通时,ud=uac;同理,依次为ubc、uba、uca、ucb,均为线电压的一部分,脉动频率为300Hz,晶闸管V1上的电压uV1波形分为三段,在V1导通的120°中,uT1=0(仅管压降);当V3导通,V1受反向电压关断,uV1=uab;V5导通时,V3关断,uV1=uac。因此,晶闸承受的最大正、反向电压为线电压的峰值。 采用三相全控桥式整流电路时,输出电压交变分量的最低频率是电网频率的6倍,交流分量与直流分量之比也较小,因此滤波器的电感量比同容量的单相或三相半波电路小得多。另外,晶闸管的额定电压值也较低。因此,这种电路适用于大功率变流装置。 因此,整流输出电压的平均值Ud为三相半波整流时的2倍,在大电感负载时输出电压为 Ud=2×1.17U2φcosα=2.34U2φcosα=1.35U21cosα式中:U2φ为变压器次级线电压有效值。 三相桥式整流电路与三相半波电路相比:若要求输出电压相同,则三相桥式整流电路对晶闸管最大正反向电压的要求降低1/2;若输入电压相同,则输出电压比三相半波可控整流时高1倍。另外,由于共阴极组在电源电压正半周时导通,流经变压器次级绕组的电流为正;共阳极组在电压负半周时导通,流经变压器次级绕组的电流为负。因此,在一个周期中变压器绕组不但提高了导电时间,而且也无直流流过,克服了三相半波可控整流电路存在直流磁化和变压器利用率低的缺点。 3)多相整流电路 对于特大功率的整流电路(如轧钢电动机,功率达数兆瓦),为了减轻对电网的干扰,特别是减轻整流电路高次谐波对电网的影响,可采用12脉相、18脉相、24脉相,甚至36脉相的多相整流电路。 图2-14(a)为两组三相桥串联组成的12脉相整流电路。为了获得12脉相波形,每个脉相波峰应错开30°。所以采用三绕组变压器,次级的两个绕组一个接成星形,另一个接成三角形,分别供给两组三相桥。两组整流桥串联后再接到负载。由于两组整流桥输出的电压的相位彼此差30°,因此在负载上得到12脉相波的整流电压,合成电压中最低次谐波频率为600Hz,输出电压ud=ud1+ud2,电流id=id1=id2。 图2-14(b)是两组三相桥并联组成大电流的12脉相整流电路。两桥变压器次级绕组电压的相位依次相差30°。若两组桥的交流线电压相等,各自的控制角也相等,则两组桥的整流平均电压也相等,只要极性相符合,就可以并联运行。但是两组整流电压的瞬时值是不等的,两组电源间会出现交流环流。为了限止环流,延长晶闸管的导通时间,需要加入平衡电抗器,输出电压ud=(ud1+ud2)/2,电流id=id1+id2。
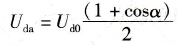
图2-14 多相整流电路 (a)两组三相桥串联;(b)两组三相桥并联。 采用多相整流电路能改善功率因数,提高脉动频率,使变压器初级电流的波形更接近正弦波,从而显著减少谐波的影响。理论上,随着相数的增加,可进一步削弱谐波的影响。但这样做增加了设备费用,在技术上对精确地得到相同的控制角提出了较严格的要求。因此,实际应用时需对方案的技术经济指标进行全面分析,最后做出选择。 4)相控整流电路主要特性 (1)输出直流平均电压Ud,在脉波数为P的整流电路中一般有 Ud=Uda-kXId (2-1)式中:Ud为考虑了负载电流引起的电压降时的直流电压;k为与电路有关的常数;X为换相电抗;Id为直流平均电流。 由式(2-1)可见,电压降主要由交流侧电抗引起,由换相重叠现象引起的电压降与换相结束时的直流侧电流成正比。从直流侧看,交流侧电抗起等效电阻的作用。 相位控制时的空载电压为 Uda=Ud0 cosα (2-2)
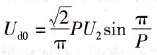
(2-3)式中:α为控制角。 无相位控制时的空载电压为
(2-4)式中:U2为交流电压有效值,在P相半波整流电路中为相电压,在P/2相桥式整流电路中为线电压。 当控制角为α时,式(2-2)适用于全控桥式电路,式(2-3)适用于半控桥式电路。 (2)整流变压器容量和整流功率Pd的关系: 变压器平均计算容量为 S= (S1+S2)/2式中:S1为初级容量,S1=m1U1I1(m1为变压器初级绕组相数);S2为次级容量,S2=m2U2I2(m2为变压器次级绕组相数)。 带有大电感负载的三相半波电路如图2-15所示。
图2-15 带有大电感负载的三相半波电路和波形 由图可见,变压器次级绕组电流i2可以分解成直流分量i2=和交流分量i2≈。由于直流分量i2=只能产生直流磁通势,所以它无法影响初级电流做相应变化。而交流分量i2≈将通过变压器的磁耦合反映到初级电流中去。这样,初、次级电流有效值分别为 I1=√2Id/3 I2=Id/√3 在α=0°和不考虑电网电压波动等情况下,得 S2=1.48Pd、S1=1.21Pd、S=1.345Pd式中:Pd为整流功率。 在三相桥式电路中,次级无直流分量电流,所以初、次级电流是波形相同的交流电,故S=1.05Pd,可见桥式接线时变压器利用率提高。 (3)重叠导电现象和电压降:图2-16为变压器漏抗存在时对整流电路波形的影响。当T1处于导通状态,给直流侧提供电流Id时,触发T2,若ud<ub,则T2变为导通状态。但由于交流侧存在漏感,T2中的电流并不立即变为Id,T1中的电流也不立即降为零,因此出现T1和T2同时导通的状态,这种状态称为换相重叠现象。这段时间以相角计算,称换相重叠角,用u表示。
图2-16 整流电路换相期中的电路模型与波形 (a)电路模型;(b)波形。 在重叠期中,输出电压为(ud+ub)/2,与不考虑漏抗时相比,输出电压降低了(ub-ud)/2。如果重叠期内直流电流一定,则T1、T2回路中流过环流i,这时α相电流ia=Id-i将逐渐减小,而b相电流ib=i,当ib增加到Id时,ia就等于零,这样就完成了换相过程。 关于电流i,2×di/dθ=ub-ud成立,由于在控制角α处,i=0,在(α+u)处,i=Id,故有 2Id=(ub-ud)u 因此,交流电流在一周期内换相一次引起的平均输出电压降为 dx=XId/2π 重叠角u随α不同而不同,但电压降是与α无关的常数。在三相桥式电路中,由于一周内换相6次,换相压降为 ux=6XId/2π式中:X为每相的电抗。 (4)整流电路的功率因数及谐波:功率因数为 λ=P/S=μ·cosφ式中:μ为畸变因数,表征电流对正弦波的偏离度;cosφ为位移因数;φ为电压和基波电流间的相位移。 在不控整流电路中,当重叠角很小时,交流侧基波电流与电压相位相同,即cosφ=1。所以,功率因数(cosφ)可由图2-17中的电流波形计算求得,其值分别为单相桥式电路是 cosφ=2√2/π=0.900 三相桥式电路是3/π=0.955,在p=12的电路中cosφ=0.989,故对于12脉相(也称脉波)以上的电路,实际上可以认为功率因数近似于1。 采用晶闸管相位控制时,由于交流电流波形形状不变,只是相位延迟了一个控制角α,所以可控整流电路的功率因数λ=μ·cosα,此时φ=α,即为不可控整流电路的功率因数乘以位移因数cosα,考虑重叠角时的功率因数,由于存在重叠角u,除电流相位延迟外,电流波形也由近似的方波变为近似的梯形波,其有效值也有所改变,因而功率因数的计算趋于复杂。近似地可以只考虑相位延迟的影响。如三相桥式电路的控制角为α,重叠角为u,则功率因数为0. 955cos(α+u/2)。在整流电路产生的谐波中,若控制保持对称,则仅有特定次数的谐波从交流电源侧沆出。在三相脉波整流电路中仅产生np±1次谐波(n=1,2,…)。
图2-17 整流电路中的电压、电流波形 选择整流电路时,主要从电性能好、结构简单、经济实用、对电网影响小等方面考虑,合理选用。
