您现在的位置是:首页 > 变频技术 > 变频技术
变频器转矩控制在牵引装置中的应用
来源:艾特贸易2017-06-04
简介1 .牵引装置对起动的要求主要的牵引装置如电力机车和电梯等,其电力拖动系统的主要特点如下: (1) 负载的轻重是随机的 电力机车和电梯中的乘客时多时少,无规律可循; (2) 对起动
1.牵引装置对起动的要求主要的牵引装置如电力机车和电梯等,其电力拖动系统的主要特点如下: (1)负载的轻重是随机的 电力机车和电梯中的乘客时多时少,无规律可循; (2)对起动过程的要求较高实践证明,在电力机车和电梯中,乘客的感觉和速度大小无关,但与加速度有关,与加速度的变化率关系更大。因此,要求起动和加速过程必须十分平稳。 2.电力拖动系统的加速度 (1)电力拖动系统加速度的计算根据电力拖动的知识,加速度的计算公式为
(12-11)式中dn/dt-电力拖动系统的加速度; GD²-电力拖动系统的飞轮力矩。 式(12-11)表明: 1)加速度的大小与动态转矩成正比,即
2)加速度的大小与飞轮力矩成反比,即
![]()
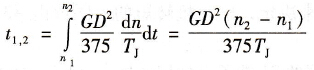
(2)电力拖动系统的加速时间
(12-12)式中t1,2-从n1加速(或减速)至n2所需的时间; n1-加速(或减速)前的转速; n2-加速(或减速)后的转速。 式(12-12)表明,加速时间与动态转矩成反比。动态转矩大,可缩短加速时间,即 TJ↑→t1,2↓反之,动态转矩小,将延长加速时间,即 TJ↓→t1,2↑ 3.不同控制方式的起动过程 (1)转速控制的起动过程在转速控制模式下,动态转矩的大小不可能根据负载轻重自动进行调整。为了防止发生起动不起来的情况,总是按负载转矩最大的情况来预置起动转矩。这样,在负载较轻的情况下,就容易在起动瞬间因发生冲击而抖动。机车在起动时常常会发生冲击,就是例子之一。 (2)转矩控制的起动过程在转矩控制模式下,可以使电动机的电磁转矩从0开始逐渐增大,直至能够克服负载转矩时,动态转矩和加速度才从0开始缓慢增加,从而使起动过程十分平稳。图12-12a是负载转矩较小时的情形;图12-12b是负载转矩较大时的情形。
图12-12 转矩控制用于起动 a)负载转矩较小时b)负载转矩较大时 当电力拖动系统已经起动后,如果电动机的转矩给定信号还在继续增大,会导致动态转矩和加速度的不断增加,一直加速到上限转速时为止。如上所述,加速度的不断增加将引起乘客的不舒适。所以,当起动到一定转速后,应切换为转速控制,使电力拖动系统按预置的加速时间加速到正常的运行速度。
