您现在的位置是:首页 > 变频技术 > 变频技术
变频调速系统中非正弦电流的功率因数
来源:艾特贸易2017-06-04
简介1 .谐波电流的平均功率对于分析非正弦电流的功率因数来说,了解谐波电流的平均功率是至关重要的。在电工基础里,非正弦电流可以通过傅里叶级数分解成许多谐波电流,或者说非
1.谐波电流的平均功率对于分析非正弦电流的功率因数来说,了解谐波电流的平均功率是至关重要的。在电工基础里,非正弦电流可以通过傅里叶级数分解成许多谐波电流,或者说非正弦电流可以看成是许多谐波电流的合成。 (1)基本分析今以5次谐波电流为例,分析如下: 设:u=Umsinωt i5=I5msin5ωt则:
(12-6)式中P5-5次谐波功率的平均值(kW); i5-5次谐波电流的瞬时值(A); I5m-5次谐波电流的振幅值(A)。 式(12-6)表明,5次谐波电流的平均功率为0。可以进一步证明,所有各次谐波电流的平均功率都等于0,或者说谐波电流的功率都是无功功率。 (2)物理意义在5次谐波电流的瞬时功率中,一部分是正功率,另一部分是负功率,并且正功率和负功率的总面积正好相等,故平均功率为0,如6.3节中的图6-12所示。 2.非正弦电流的功率因数 (1)基波电流与电压同相位在基波电流与电压同相位的情况下,上述的位移因数可不必考虑。 非正弦电流的有效值由下式计算:
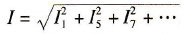
(12-7)式中I1,I5,I7-基波电流、5次谐波电流和7次谐波电流的有效值(三相对 称电路中不存在以3为倍数的谐波电流)。 因为非正弦电流的无功功率是由于电流波形发生畸变而形成的,故其功率因数用畸变因数来表述,即
(12-8)式中v-畸变因数。 (2)基波电流与电压不同相 当基波电流的相位与电压相位之间存在相位差时,有: 1)各次谐波电流的平均功率仍为0; 2)基波电流与电压之间因有相位差而产生的位移因数必须考虑。 所以,非正弦电流的功率因数的表达式为 λ=vcosφ (12-9)
