您现在的位置是:首页 > 变频技术 > 变频技术
恒转矩负载的变频调速中传动比选择的举例
来源:艾特贸易2017-06-05
简介例如,某恒转矩负载:根据工作需要,要求最高转速为 720r/min ,最低转速为 80r/min (调速范围 n=9 )。满负载时负载侧的转矩为 140N m 。 原选电动机的数据: PN=11kW , nN=1440r/min 。 原传
例如,某恒转矩负载:根据工作需要,要求最高转速为720r/min,最低转速为80r/min(调速范围αn=9)。满负载时负载侧的转矩为140N·m。 原选电动机的数据:PN=11kW,nN=1440r/min。 原传动装置的传动比为λ=2。 今采用变频调速,用户要求不增加额外的装置(如转速反馈装置及风扇)等,但可以适当改变带轮的直径,在一定的范围内调整传动比。 1.计算负载率 (1)电动机的额定转矩。根据电动机的额定功率和额定转速求出
(2)负载转矩的折算值。根据负载转矩与传动比求出
(3)电动机的负载率。根据电动机轴上的负载转矩与额定转矩求出
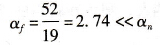
2.核实允许的变频范围由图5-17可知,当负载率为0.96时,允许频率范围是19~52Hz,调频范围为
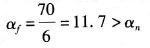
显然,与负载要求的调速范围相去甚远。 3.选择传动比 (1)由图5-17,如果负载率为70%的话,则允许调频范围为6~70Hz,调频范围为
(2)电动机轴上的负载转矩应限制在
(3)确定传动比:
选 λ=2.75 4.校核 (1)电动机的转速范围 nMmax= 720×2.75r/min= 1980r/min nMmin= 80×2.75r/min= 220r/min (2)工作频率范围
可见,增大传动比后,工作频率在允许范围内。
