您现在的位置是:首页 > 变频技术 > 变频技术
变频器安装空间的要求
来源:艾特贸易2017-06-05
简介在安装空间上,要保证变频器与周围墙壁留有 15cm 的距离,有通畅的气流通道,如图 6-1 所示。 变频器工作时,其散热片的温度可达 90 ℃,故安装底板必须为耐热材料。此外,还要保证
在安装空间上,要保证变频器与周围墙壁留有15cm的距离,有通畅的气流通道,如图6-1所示。 变频器工作时,其散热片的温度可达90℃,故安装底板必须为耐热材料。此外,还要保证不会有杂物进入变频器,以免造成短路或更大的故障。变频器的几种常用安装方式如图6-2所示。
图6-1 变频器的安装示意图
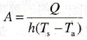
图6-2 变频器的几种常用安装方式 很多生产现场将变频器安装于电气安装柜内,这时应注意散热问题。变频器的最高允许温度Ti=50℃,如果安装柜的周围温度Ta=40℃(max),则必须使柜内温升在Ti-Ta=10℃以下。关于散热有以下两种情况。 ①电气柜如果不采用强制换气,则变频器发出的热量经过电气柜内部的空气,由柜表面自然散热。这时,散热所需要的电气柜有效表面积A用下式计算。
(6-1)式中 Q-安装柜总发热量(W); h-传热系数(散热系数); A-安装柜有效散热面积,去掉靠近地面、墙壁及其他影响散热的面积(m²); Ts-电气柜的表面温度(℃); Ta-周围温度(℃,一般最高时为40℃)。 ②设置换气扇,采用强制换气时,散热效果更好,是盘面自然对流散热无可比拟的。换气流量P可用下式计算,该式也可用于计算风扇容量。
(6-2)式中Q-电气柜内总发热量(W); ρ-空气密度,ρ=1.057 k9/m³(50℃时); C-空气的比热容,C=1.0kJ/kg·℃; P-流量(m3/S); T0-排气口的空气温度(℃),50℃; Ta-周围温度(在给气口的空气温度,℃),40℃。 使用强制换气时,应注意以下问题。 ·从外部吸入空气的同时也会吸入尘埃,所以在吸入口应该安置空气过滤器。在柜 门上设置屏蔽垫,在电缆引入口设置精梳板,当电缆引入后,就会自动密封起来。 ·当有空气过滤时,如果吸入口的面积太小,则风速增高,过滤器会在短时间内堵 塞,而且压力损失增高,会降低风扇的换气能力。另外,由于电源电压的波动有 可能使风扇的能力降低,应该选定约有20%余量的风扇。 ·因为热空气会从下往上流动,所以最好选择从安装柜的下部供给空气,向上部排 气的结构,如图6-3 (a)所示。
图6-3 安装柜强制换气安装图 ·当需要在邻近并排安装两台或多台变频器时,台与台之间必须留有足够的距离。 当竖排安装时(如图6-3 (b)所示),变频器间距至少为50cm,变频器之间应加 隔板,以增加上部变频器的散热效果。
