变频技术
变频技术
-
专用变频器简介
变频技术(1) 高性能专用变频器 随着控制理论、交流调速理论和电力电子技术的发展,异步电动机的矢量控制得到了发展,矢量控制变频器及其专用电动机构成的交流伺服系统已经达到和超过了...
阅读更多 -
变频器中IGCT的特点
变频技术由于 ICCT 像 IGBT 那样具有快速开关功能,像 GTO 那样导电损耗低,所以在高压、大电流各种应用领域中可靠性更高。 IGCT 装置中所有元件装在紧凑的单元中,降低了成本。 IGCT 采用电压...
阅读更多 -
变频器中IPM的结构
变频技术
智能功率模块 IPM(Intelligent Power Module) 是功率集成电路 PIC( Power Integrated Circuit) 的一种。它将高速度、低功耗的 IGBT 与栅极驱动器和保护电路一体化,因而具有智能化、多功能、高可靠、...
阅读更多 -
变频器中IPM的主要特点
变频技术IPM 内含驱动电路,可以按最佳的 IGBT 驱动条件进行设定; IPM 内含过电流 (OC) 保护、短路 (SC) 保护,使检测功耗小、灵敏、准确; IPM 内含欠电压 (UV) 保护,当控制电源电压小于规定值...
阅读更多 -
变频器中IPM选择注意事项
变频技术1 .采用光电耦合器 由于 IPM 驱动电路要求信号传输延迟时间不应超过 0.5 μ s ,因而器件只能采用快速光电耦合器,可选用逻辑门光电耦合器 6N137 。该器件工作于 TTL 电平,而 IPM 模块...
阅读更多 -
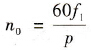
异步电动机变频调速工作原理
变频技术
根据电机学原理可知,三相异步电动机的同步转速 n0 可表示为 (2-1) 式中, f1 为定子供电的频率; p 为电动机的磁极对数。 如果频率调节成 fx ,则同步转速 n0x 也随之调节成 (2-2) 这就...
阅读更多 -
交流变频技术的发展
变频技术直流电机与交流电机先后诞生于 19 世纪后期,它们刚一问世,立即引发工业生产的“第二次革命”,使世界由“蒸汽机时代”迈入“电气化时代”。 100 多年来各类电机已经成为人类生...
阅读更多 -
三相异步电动机的机械特性
变频技术
当加在电动机上的电压 U1 为额定电压时,电动机的电磁转矩 T 与转子转速 n 之间的关系,称为电动机的机械特性,即 n=f ( T ) 三相异步电动机的机械特性曲线如图 2-1 所示。下面讨论...
阅读更多 -
变频器新技术
变频技术伴随着变频器应用的日益广泛,其性能和技术也在飞速发展,主要体现在: (1) 模块化 新型变频器的模块化已经取得了很大进展,例如,日立公司的通用变频器专用集成功率模块 (ISPM...
阅读更多 -
三相异步电动机的调速
变频技术
1 .变极调速 三相异步电动机的变极调速属于有级调速,通过改变磁极对数 p ,可以得到 2 : 1 调速、 3 : 2 调速、 4 : 3 调速及三速电动机等,调速的级数很少。由于磁极对数 p 取决...
阅读更多
