变频技术
变频技术
-
S120变频器的基本操作概述
变频技术
SINAMICS S120 变频器集矢量控制与伺服控制于一身,分为 DC- AC 与 AC- AC 两种类型,所谓 DC- AC ,是指控制单元、整流、逆变都为独立模块,目前 DC- AC 类型功率范围为 0.9 ~ 1200kW , AC- AC...
阅读更多 -
变流器触发电路的分类
变频技术
变流器触发电路按控制功能分为相位控制(简称相控)触发电路、斩波控制(简称斩控)触发电路和频率控制(简称频控)触发电路。 1) 相控触发电路 相控触发电路应用于可控整流器...
阅读更多 -
变频器开环矢量控制中速度调节器ASR
变频技术
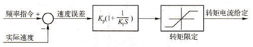
速度调节器 ASR 的结构如图 4.6 所示,图中 Kp 为比例增益, KI 为积分时间。积分时间设为 0 时,则无积分作用,速度环为单纯的比例调节器。由于是无速度传感器矢量控制方式,速度环...
阅读更多 -
S120变频器的驱动参数进行配置
变频技术
SINAMICS S120 变频器的调试软件为 STARTER 或者是 SCOUT ,其中 SCOUT 软件中包含 STARTER 软件,二者不能同时安装。 SCOUT 软件需要授权,而 STARTER 软件不需要授权。目前 SCOUT 软件的最新版本号...
阅读更多 -
脉冲输出器概述
变频技术触发电路产生的脉冲信号经脉冲输出器(驱动电路)产生驱动信号。 脉冲输出器(驱动电路)按驱动对象可分为以下 4 种: (1) 晶闸管驱动电路:当信号要求晶闸管导通时,产生幅度和...
阅读更多 -
变频器开环矢量控制中转差补偿增益和静差率
变频技术静差就是从一个稳定的转速过渡到另一个稳定的转速之间的差值,静差率是指电动机空载与满载的速度差,这两个参数对于电动机的控制特性都是要求比较高的。 由于无速度传感器的矢...
阅读更多 -
S120变频器的对驱动进行在线组态
变频技术
在正确插入驱动装置后,应该进行相应的在线项目,如图 12-7 所示。 1) 选中 Drive_unit_01 ,单击在线,在线后装置前端的符号变成绿颜色; 2) 同样选中 Drive_unit_01 ,单击恢复工厂设定;...
阅读更多 -
变流器的控制电路
变频技术变流器是整流器、逆变器以及借助变流元件使电源系统的电压、频率、相数和其他电量或特性发生变化的一类电器设备。变流器为了实现对电能的变换、调节和控制,除了主电路以外,...
阅读更多 -
变频器容量选择的依据
变频技术
变频器的容量直接关系到变频调速系统的运行可靠性,因此,合理的容量将保证最优的投资。变频器的容量选择在实际操作中存在很多误区,这里给出了三种基本的容量选择方法,它们...
阅读更多 -
S120变频器的电动机数据与编码器数据设置与读取
变频技术
集成 DRIVE- CLIQ 的电动机,可以通过自动组态的方式将电动机与编码器的数据读出,如图 12-9 所示。 图 12-9 通过自动组态的方式将电动机与编码器的数据读出 对于不集成 DRIVE- CLIQ 接口的...
阅读更多
