您现在的位置是:首页 > 电气技术 > 电气技术
XJ4241型双踪示波器脉冲信号时间的测量
来源:艾特贸易2018-04-20
简介XJ4241 型双踪示波器不具备延迟线,对脉冲边沿进行测量存在一定困难。但当脉冲重复频率高于扫描频率时,借助于扫速扩展,仍能方便地测出其前沿或后沿的参数。测试方法如下(以脉
XJ4241型双踪示波器不具备延迟线,对脉冲边沿进行测量存在一定困难。但当脉冲重复频率高于扫描频率时,借助于扫速扩展,仍能方便地测出其前沿或后沿的参数。测试方法如下(以脉冲信号上升时间为例)所示。
①将有关控制件置于表2-6中的位置。
表2-6 控制件位置

②调节“触发电平”及“X移位”,使波形的前沿在屏幕中央稳定显示,测得被测波形幅值在10%~90%间波形前沿的水平刻度读数a(如a=1.6div)。脉冲上升时间的测量波形如图2-10所示。

图2-10 脉冲上升时间的测量波形
③上升时间Tr=a×0.5μs/5=1.6×0.5μs/5=0.08μs=160ns。
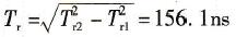
④若被测脉冲的前沿接近于本机固有额定的上升时间(35ns),则
(2-2)
式中,Tr2为读出的上升时间;Tr1为本机固有的上升时间。
如果Tr2=160ns,Tr1=35ns,则

(作者稿费要求:需要高清无水印文章的读者3元每篇,请联系客服,谢谢!在线客服:
)
点击排行
室内风扇电机和霍尔元件的检测