您现在的位置是:首页 > 电气技术 > 电气技术
Zeta斩波电路的工作原理
来源:艾特贸易2018-05-11
简介Zeta 斩波电路如图 2-13 所示。 图 2-13 Zeta 斩波电路 电路工作原理: 在图 2-13 电路中,当三极管 VT 基极第一个控制脉冲高电平来时, VT 导通,电源 E 产生电流流经 VT 、 L1 , L1 储存能量
Zeta斩波电路如图2-13所示。

图2-13 Zeta斩波电路
电路工作原理:
在图2-13电路中,当三极管VT基极第一个控制脉冲高电平来时,VT导通,电源E产生电流流经VT、L1,L1储存能量;当控制脉冲低电平来时,VT关断,流过L1的电流突然减小,L1马上产生上负下正的电动势,它经VD对C1充电,在C1上充得左负右正电压;当第二个脉冲高电平来时,VT导通,电源E在产生电流流过L1时,还会与C1上的左负右正电压叠加,经L2对C2充电,在C2上充得上正下负电压,同时L2储存能量;当第二个脉冲低电平来时,VT关断,除了L1产生上负下正电动势对C1充电外,L2会产生左负右正电动势,经VD对C2充得上正下负电压。以后电路会重复上述过程,结果在C2上充得上正下负的正极性电压Uo。
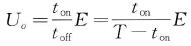
对于Zeta升降压斩波电路,在一个周期T内,如果控制脉冲Ub的高电平持续时间为ton,低电平持续时间为toff,那么Uo电压的平均值有下面的关系

(作者稿费要求:需要高清无水印文章的读者3元每篇,请联系客服,谢谢!在线客服:
)
点击排行
室内风扇电机和霍尔元件的检测