您现在的位置是:首页 > 电气技术 > 电气技术
什么叫并联谐振,它产生的条件是什么
来源:艾特贸易2018-05-28
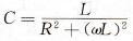
简介在图 6-8 所示的电感线圈和电容并联电路中,出现并联电路的端电压与总电流同相位的现象叫并联谐振。产生并联谐振的条件是 图 6-8 收音机输入电路 在并联谐振时,电路的总阻抗最大
在图6-8所示的电感线圈和电容并联电路中,出现并联电路的端电压与总电流同相位的现象叫并联谐振。产生并联谐振的条件是

图6-8 收音机输入电路
在并联谐振时,电路的总阻抗最大,电路的总电流变得最小,但对每一支路而言,其电流可能比总电流大得多,故并联谐振又称为电流谐振。并联谐振时,由于端电压与总电流同相位,使电路总的功率因数达到最大值,即cosφ=1,并联谐振不会,产生危害设备安全的过电压。
并联谐振应用:如自动控制、机械加工、电子钟、电视机。
(作者稿费要求:需要高清无水印文章的读者3元每篇,请联系客服,谢谢!在线客服:
)
点击排行
室内风扇电机和霍尔元件的检测