您现在的位置是:首页 > 电气技术 > 电气技术
采用电压表与电流表检测电容器的电容量
来源:艾特贸易2018-05-28
简介电容器的电容量可在万能试验台上测定,若无万能试验台,也可采用下述方法来进行检查。 1 .连接电路 按图 6-16 所示连接好测试电路。为防止电容器短路时损坏毫安表,应将可变电阻
电容器的电容量可在万能试验台上测定,若无万能试验台,也可采用下述方法来进行检查。
1.连接电路
按图6-16所示连接好测试电路。为防止电容器短路时损坏毫安表,应将可变电阻器RP置于电阻值最大位置。

图6-16 测电压与电流确定电容量的电路
2.测量计算
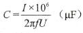
接通电源220 V交流电源,观察毫安表。当表针指示正常时,再逐渐减小RP的电阻值直至为零,并记下电压表和毫安表的指示值。然后按下式即可算出电容器的电容量。

式中C-电容器的电容量,μF;
U-交流电源电压,V;
I-电流值,A;
F-交流电源频率,50 Hz。
(作者稿费要求:需要高清无水印文章的读者3元每篇,请联系客服,谢谢!在线客服:
)
点击排行
室内风扇电机和霍尔元件的检测