您现在的位置是:首页 > 电气技术 > 电气技术
共发射极放大电路的静态工作点
来源:艾特贸易2018-08-13
简介共发射极基本放大电路如图 2-41 所示。 图 2-41 共发射极基本放大电路 当放大电路没有输入信号时,电路中各处的电压电流都是不变的直流,称为静态。静态时放大电路各处的电压、电
共发射极基本放大电路如图2-41所示。

图2-41 共发射极基本放大电路
当放大电路没有输入信号时,电路中各处的电压电流都是不变的直流,称为静态。静态时放大电路各处的电压、电流分别用UCEQ、IBQ、ICQ表示,称为静态点。

图2-42 直流通路
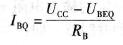
为保证放大电路不失真地工作,需要合理设置静态点。实际工作中,近似估算静态工作点通常用直流通路,如图2-42所示。由图示直流通路可知:
UCEQ=IBQRB+UBEQ
经整理得到:

由于三极管的UBEQ很小,硅管约0.7V,锗管约0.3V,与电源电压相比,UBEQ可忽略,因此上式又可写为:

根据三极管的电流关系IC=βIB +ICEO,忽略穿透电流ICEO时有:
ICQ=βIBQ
从集电极回路来看:
UCC=UCEQ + ICQRC
经整理后得到:
UCEQ = UCC - ICQRC
(作者稿费要求:需要高清无水印文章的读者3元每篇,请联系客服,谢谢!在线客服:
)
点击排行
室内风扇电机和霍尔元件的检测