您现在的位置是:首页 > 电气技术 > 电气技术
简述变压器的工作原理
来源:艾特贸易2019-02-27
简介变压器的基本原理是电磁感应原理。是“电生磁、磁生电”现象的一个具体应用。现以单相双绕组(或三相中一相)变压器为例来说明,如图 1 所示,它由两个绕组和一个铁芯组成。
变压器的基本原理是电磁感应原理。是“电生磁、磁生电”现象的一个具体应用。现以单相双绕组(或三相中一相)变压器为例来说明,如图1所示,它由两个绕组和一个铁芯组成。

图1 变压器工作原理图
当匝数N1的一次绕组(可以是高压侧,也可以是低压侧)接到频率为f,电压为U1的交流电源时,很小的励磁电流I0就在铁芯中产生主磁通
,以及经铁芯外回路中漏磁通Φ0交变的
在一、二次绕组中感应出电动势E1和E2,二次绕组ax就有电压U2。当二次绕组接有负载zL时,就有二次电流I2流过,而此时的一次电流就由空载时的I0增加到I1。当忽略绕组电阻和漏磁电抗时,由法拉第电磁感应定律可得
U1=E1=4.44fN1Φm=4.44 fN1BmS
U2=E2=4.44 fN2Φm=4.44 fN2BmS
式中f-频率;
N1、N2-分别为一、二次绕组的匝数;
Qm-主磁通的最大值;
Bm-主磁感应强度的最大值;
S-铁芯截面积。
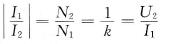
如令变比 k=U1/U2
即 U1/U2=N1/N2=k
可见,一、二次绕组的电压比就等于匝数比。因此,只要改变两个绕组中任一个的匝数,就可改变一、二次绕组的电压比,从而实现改变电压的目的。
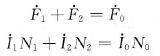
当二次绕组接有负载zL时,二次绕组就有电流I2流过,一次绕组电流由I0变为I1,根据磁势平衡方程式

由于外加电压U1不变,Φ不变(空载时和负载时主磁通稍有不同),I0N1不变,所以当二次电流I2改变时,一次电流I1就要随着改变。当忽略
(I0N1)时,磁势平衡方程式就成为
1N1+
2N2=0,即

可见,电流的变换关系与电压的变换关系正好相反。
一、二次绕组的容量关系S1=I1U1≈S2=I2U2。
(作者稿费要求:需要高清无水印文章的读者3元每篇,请联系客服,谢谢!在线客服:
)
点击排行
室内风扇电机和霍尔元件的检测