您现在的位置是:首页 > 电气技术 > 电气技术
单侧电源电流速断保护原理与整定计算公式
来源:艾特贸易2017-03-18
简介单侧电源情况下电流速断保护的整定计算原则将作为重点详细介绍,如何进行计算需要考虑到灵敏度和选择性对继电保护的要求。 1. 单侧电源情况下电流速断保护的整定计算原则 根据
单侧电源情况下电流速断保护的整定计算原则将作为重点详细介绍,如何进行计算需要考虑到灵敏度和选择性对继电保护的要求。
1. 单侧电源情况下电流速断保护的整定计算原则
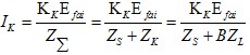
根据电力系统短路的分析,当电源电势一定时,短路电流的大小决定于故障类型以及短路点和电源之间的总阻抗
,一般表示为:
-故障类型系数,三相短路是1,两相短路是31/2/2;
-系统等效电源的相电势;
-保护安装处到系统等效电源之间的阻抗,此阻抗将随运行方式而变化;
-保护安装处到故障点之间的阻抗;
-被保护线路全长的阻抗,如线路AB可表示为
等;
与
之比值,表示故障点位置与线路全长之间[0,1]。
①在一定的系统运行方式下,
和
为常数,则
将随
的增大而减小;
②当系统运行方式及故障类型改变时,
都将随之变化;
③保护安装处到系统等效电源之间的阻抗最小时(
),通过保护装置的短路电流为最大的运行方式,称为系统最大运行方式;
④保护安装处到系统等效电源之间的阻抗最大时(
),通过保护装置的短路电流为最小的运行方式,称为系统最小运行方式;
⑤对不同安装点的保护装置,应根据网络接线的实际情况选取其最大和最小运行方式;
⑥在最大运行方式下三相短路时,通过保护装置的短路电流为最大;在最小运行方式下两相短路时,则短路电流为最小。
2. 由于选择性要求,有选择性的电流速断保护不可能保护本线路的全长。故速断保护对被保护线路内部故障的反应能力(灵敏性),只能使用保护范围的大小衡量,此保护范围通常用线路全长的百分比来表示。
3. 系统为最大运行方式时,电流速断保护范围为最大,当出现其他运行方式或两相短路时,速断的保护范围都要减小,当出现系统最小运行方式下的两相短路时,电流速断的保护范围最小
点击排行
室内风扇电机和霍尔元件的检测