您现在的位置是:首页 > 电气技术 > 电气技术
电磁转矩参数表达式推导
来源:艾特贸易2017-03-18
简介物理表达式说明了产生电磁转矩的条件,所推导出的转矩表达式也具有明显的物理意义,然而,在对电机进行具体分析时通常希望表达式能直观地反映外加电压、电机参数对转矩的影响
物理表达式说明了产生电磁转矩的条件,所推导出的转矩表达式也具有明显的物理意义,然而,在对电机进行具体分析时通常希望表达式能直观地反映外加电压、电机参数对转矩的影响,也希望能反映出在不同转差率时转矩的变化规律,因而有必要推导出电磁转矩的参数表达式。
由Γ形简化等效电路可得:
(5.90)
则:
(5.91)
式(ZJ.13)描述了电磁转矩与电源参数(电压和频率)、电机参数(定转子侧电阻、电抗)和运行参数(转差率)之间的关系。根据电磁转矩的参数表达式,在电网电压、频率为常数,并且认为电机参数不变的情况下,电磁转矩仅与转差率s有关,由式(ZJ.13)算出电磁转矩与转差率的—组数值后即可以得到异步电机的曲线,称为异步电机的转矩特性曲线,如图ZJ.3所示;如果转差率用转速表示,则称为异步电机的机械特性曲线,如图ZJ.4所示。利用曲线可以分析异步电机在起动、调速、制动及各种运行状态下的性能。
图 5.26 异步电动机的Tem=f(s)曲线
由异步电机的转矩特性曲线可见,当异步电机作为电动机接入电源,转子尚未转动瞬间,n=0,s=1,此时的转矩称为起动转矩Tst。如果起动转矩大于制动转矩,则电机转子将升速,转差率减小。而s=0时,Tem=0;这是因为转子转速等于同步转速,转子与旋转磁场之间没有相对运动,电机中不能产生有效的电磁转矩;或者说,当
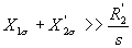
,转子电流有功分量为零,数学上不难证明电磁转矩仍为零。当s在0~1之间逐渐增加时,由式(ZJ.13)可知,该式的分子、分母项均减小。但当s很小时,R2’/s值很大,在电机中起主要作用,
,
近似认为分母中只有
一项,R1忽略之后,约去分母中的
,可认为
,即随着s的增加,转子电流成正比的增加,则电磁转矩也成正比的增加;当s较大时,R2’/s相对变小,电机的电抗起主要作用,分母中
,
的值可忽略不计,这样可近似认为
,所以随着s增加,电磁转矩反而减小了。可见转矩特性中存在一个电磁转矩的最大值Tmax。
异步电机作为发电机时,转差率s变为负值,因而电磁转矩也变负,对原动机起制动作用。此时
曲线在右下方,形状与电动机的类似,只是因为s为负值,最大电磁转矩Tmax比电动机的要稍大一些。其
是电动机转矩曲线的延长。
异步电机作为电磁制动状态运行时,转差率s>1,
曲线是电动机曲线的延长,随着s增加,电磁转矩逐渐减小,直到在无穷远处变为零。
必须指出,异步电机的参数实际上并非常数,由于存在集肤效应和漏磁通的饱和,定转子漏电抗与定子电流的大小有关。转子电阻和漏电抗与转子频率和转子电流大小有关。转子频率s2=sf1决定于转差率s。从等效电路图可知,转子电流的大小也决定于转差率。所以不同的转差率时电机具有不同的参数。通常对正常运行时、产生最大转矩时和起动时的三种不同情况采用不同的参数值进行分别计算。
在
曲线中有两个数值对电机的运行具有特别的重要意义,一个是最大电磁转矩Tmax,一个是起动转矩Tst,这两个转矩是衡量电动机性能好坏的重要指标。再加上额定转矩TN,构成了异步电动机中三个重要转矩。
1.最大电磁转矩Tmax:
异步电机作为电动机和发电机运行时,都有一个最大电磁转矩Tmax。为了求取Tmax,仍认为电机参数不变,只需将电磁转矩的参数表达式(ZJ.13)对s求
,并令
,求出临界转差率sm
(5.92)
把sm代入式(ZJ.13),得到
(5.93)
式(ZJ.15)中,正号用于电动机,负号用于发电机。由该式可见:
(1)当电源频率和电机参数不变时,最大电磁转矩与电压的平方成正比,即Tmax∝
;并且Sm与
无关。因此,当电动机在额定负载下运行时,若电压下降过多,以至最大电磁转矩Tmax小于总制动转矩(T2+T0),而则将发生停转事故。
(2)最大电磁转矩的大小与转子回路电阻R2无关;但Sm与转子回路电阻R2成正比。故当增加转子回路电阻时,Tmax虽然不变,但发生最大电磁转矩的转差率Sm增加。
(3)由于定、转子漏抗(
)与频率成正比,所以最大电磁转矩近似与(U1/f1)2成正比,即Tmax随电源频率的增加而降低。
(4)临界转差率和最大电磁转矩近似与定、转子漏抗(
)成反比,即定、转子漏抗越大Tmax、Sm越小。
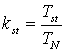
最大电磁转矩是异步电动机的重要性能指标之一,当电动机运行时,总制动转矩(T2+T0)不能超过Tmax,否则电动机将停转下来。由此可见,最大电磁转矩越大,电动机的短时过载能力越强,因此为了保证电动机不因短时过载而停止运转,对Tmax的数值有—定的要求。定义电动机的过载能力kM:
(5.94)
kM越大,过载能力越强。对一般异步电动机,kM的大小通常在1.6~2.5之间。
2.起动转矩Tst
起动转矩也是异步电动机的重要性能指标之—,因为如果起动转矩太小,在一定负载下电机将可能无法起动。
把n=0,S=1代入式(ZJ-13)电磁转矩公式,可得:
(5.95)
对于绕线型转子,如果想在起动时得到最大转矩,应使Sm=1;于是,由式(ZJ.14)可见,应使:
(5.96)
式中,
是转子每相回路串入的附加电阻(也即起动电阻)折算到定子绕组的数值。
由式(ZJ.17)可见起动转矩的变化规律如下:
(1)Tst与
成正比;
(2)转子电阻增加时,Tst先增加后减小;当Sm=1,即转子回路电阻
时,起动转矩将达到最大电磁转矩。
(3)f1一定时, 越大,Tst越小。
(4)Tmax随电源频率的增加而降低。
通常用额定转矩的倍数来表示起动转矩,即起动转矩倍数
:
(5.97)
越大,
越大,起动能力越强。对于一般的异步电动机
=1.0~2.2;特殊电机可达4.0以上。
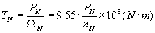
3.额定转矩TN:
额定转矩是由异步电机的额定功率和额定转速可直接得出的参数,是异步电机带额定负载,转速达到额定值时的电磁转矩。
(5.98)
此处
的单位为为kW。
点击排行
室内风扇电机和霍尔元件的检测