您现在的位置是:首页 > 电气技术 > 电气技术
确定窃电方式的基本步骤和方法
来源:艾特贸易2017-03-18
简介确定窃电方式,具体任务是确定电压回路、电流回路是否有断线或短路故障,是否发生了电能表上电压、电流进错相(移相窃电行为)为窃电案件的处理提供可靠的技术依据。 一、相位
确定窃电方式,具体任务是确定电压回路、电流回路是否有断线或短路故障,是否发生了电能表上电压、电流进错相(移相窃电行为)为窃电案件的处理提供可靠的技术依据。
一、相位伏安表的主要功能
相位伏安表不仅可以测量交流电压、电流,而且还可以测量两电压之间、两电流之间、电压与电流之间的相位差,是检查电能计量装置二次回路的理想仪表。
二、确定窃电方式的基本步骤
1.检查电压回路:排除断线、短路故障,确定电压
的相别。
2.检查电流回路:排除断线、短路故障。确定电流
的相别
3.检查移相窃电:利用相位伏安表测试第一元件、第二元件、第三元件上电压超前电流的角度,画出电能表的实际相量图,与正确相量图比较。
三、电压互感器的带电检查
电压互感器的带电检查指互感器计量状态下,对互感器的接线、极性、变比及接地点进行检查,以确定实际互感器是否有断线、短路和极性接反等故障。
四、电流互感器的带电检查
电流互感器的带电检查指互感器计量状态下,对互感器的接线、极性、变比及接地点进行检查,以确定实际互感器是否有断线、短路和极性接反等故障。
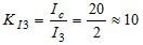
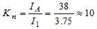
例:某客户三相四线有功电能表带变比相同的三台电流互感器,变比KI=50A/5A。在电能表表尾检查:如图5-8所示,用电压表测得电能表上的三个相电压U1≈U2 ≈U3 ≈218V;用相位伏安表的“U1U2”档测得角度(U12∧U32)=300o;用两块钳形电流表同时测三台TA对应的一次、二次电流,结果为IA=38A,I1=3.75,IB=0A,IC=20A,I3=2A;用相位伏安表测得三个角度为δ1=210o, δ2=30o; δ3=30o; 试分析、判断该套计量装置的错误接线形式?
解:根据确定窃电方式的基本步骤对检查数据 进行分析。
1、查电压回路:由已知U1≈U2 ≈U3 ≈218V和(U12∧U32)=300o,可判断电压回路无断路故障。且进线电压为三相正序,即U1,U2 ,U3 ,Un分别对应A,B,C,N。
2、查电流回路:三台TA的理想变比为KI=50/5=10,
A相TA的实际变比为:
B相:因为I2=0,异常,查其二次端子,K1,K2被短接;记录并排除故障。
C相TA的实际变比为:
基本正常。
3、查移相法窃电:
1)画相量图,通常负载为感性,因此,0o
画出正序电压相量,再根据δ1, δ2; δ3画出电流相量。
2)由图1(a)和1(b),判断电流相别和极性。
4、判断结果:流入电能表的电压依次为A,B,C电流依次为-Ia,Ib,Ic。如图2所示。
图1(a) 电能表正确接线相 1(b)电能表实际接线相量图
图2计量装置错误接线图
点击排行
室内风扇电机和霍尔元件的检测