电气技术
电气技术
-
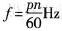
三极管的主要参数
电气技术
1) 电流放大系数β 常用小功率三极管的β值为 20 ~ 150 。温度升高时β会增大,使三极管的工作状态不稳定。 2) 集电极最大允许电流 ICM 当三极管的集电极电流增大时,β下降,当β下降...
阅读更多 -
单相半波整流电路
电气技术
单相半波整流电路如图 2-53 所示,它是最简单的整流电路。电路中只使用一个二极管,电路中变压器用来将电源电压变换到整流负载工作所需要的电压值。其波形如图 2-54 所示。 图 2...
阅读更多 -
三相异步电动机的工作原理、分类和用途
电气技术三相异步电动机由定子和转子两大部分组成。定子包括定子铁芯、定子绕组和机座等,转子包括转子铁芯、转子绕组和转轴等。转子绕组又分为笼型和绕线型两类。 工作原理为对称三相...
阅读更多 -
稳压二极管简介
电气技术
稳压二极管是一种特殊的面接触型半导体硅二极管,工作在反向击穿区。图 2-39a 是硅稳压管的外形图和表示符号,图 2-39b 是其伏安特性。 图 2-39 硅稳压管 (作者稿费要求:需要高清无...
阅读更多 -
单相桥式整流电路
电气技术
单相桥式整流电路是由四个二极管接成电桥的形式构成的。如图 2 -55 所示是单相桥式整流电路的 2 种不同画法。图 2 -56 是单相桥式整流电路的电压与电流波形。 图 2-55 单相桥式整流电...
阅读更多 -
同步电机的分类
电气技术
同步电机是转子转速等于同步转速的一类交流电机。按照功率转换关系,同步电机可分为同步发电机、同步电动机和同步补偿机三类。 1) 三相同步发电机 三相同步发电机由定子和转子...
阅读更多 -
开关二极管简介
电气技术开关二极管的开关时间非常短(硅管仅几个纳秒),即它的开关速度非常高,因而被广泛应用在脉冲电路和自动控制电路中。开关二极管的型号有 2CK 、 2AK 等系列。...
阅读更多 -
“与”门电路
电气技术
门电路是最基本的数字电路。它是指具有一个或多个输入端,只有一个输出端的开关电路。门电路的输入和输出之间存在着一定的因果关系,即逻辑关系,所以又称逻辑门电路。 为了简...
阅读更多 -
低压电器基本知识
电气技术低压电器通常是指工作在交流电压小于 1200V ,直流电压小于 1500V 的电路中起接通、分断、保护、控制或调节作用的电器设备。 低压电器的种类繁多,就其用途或所控制的对象可概括为...
阅读更多 -
发光二极管的符号和外形
电气技术
发光二极管通常用砷化镓、磷化镓等半导体材料制成,它在通过正向电流时会发光,可发出红、黄、绿及红外光等。发光二极管被广泛应用于数码显示、电气设备的指示灯等,红外发光...
阅读更多
点击排行
室内风扇电机和霍尔元件的检测