电气技术
电气技术
-
串联谐振电路的特性和通频带特性曲线
电气技术
(1) 串联谐振电路选择性 串联谐振电路的品质因数Q值的大小标志着谐振电路的质量优劣,它对谐振曲线有着很大的影响。理论和实践证明,Q值越高,曲线就越尖锐,电路的选择性越好...
阅读更多 -
怎么看输电线路电压等级
架空线路构成:导线、绝缘子、金具、杆塔及其基础、避雷线和 接地 装置等。 导线:传导电流,它是线路的基本部分。 绝缘子:在导线在传导电流时,保持三相之间互相绝缘,并对地...
阅读更多 -
三相动力电功率测量方法
电气技术
用的是钳形表,不能用普通万能表,因为普通万能表测电流是串在电路中测的,你看万能表的测试线比笔芯还细,动力电的线象手指般粗,一串进还不把它烧了。你如一定要用普通万能...
阅读更多 -
调压器三角形接法和星形接法的区别
电气技术
三相交流电系统主要采用两种接法,星形和三角形接法,不过现实应用中一般采用星形接法,在这里三角形接法只作了解就好。 星形(Y)接法:在三相交流发电机中,将三个线圈的尾端...
阅读更多 -
照明回路装漏电保护器
根据规程,除了离地2米以上用于壁挂式空调以外的所有插座必须装,照明回路一般不用装。 想配就配一个呗,不配也没关系,当然有漏保好啦!当漏电或短路的时候就知道是照明电路...
阅读更多 -
电工图纸怎么看学的快
电气技术
电工 建设图纸,电工图纸有这几个看法 1.首先我们要先看图例!要学会符号代表的是什么!箱.开关.插座.[标高]!都在图例上能找到!在看要求施工实施。 2.系统图!进线箱和户箱分支...
阅读更多 -
电压暂降与短时中断的区别
电压暂降,只是电压暂时降低,电流在一定限度升高。 电压短时中断,也就是电压为零,电压会陡然升高,对线路的绝缘可能造成毁损。电压短时中断后,因为失压,电力系统的低电压...
阅读更多 -
电笔怎么测火线零线?数字电笔测试火线图样
电笔怎么测火线零线?数字电笔测试火线图样 测火线时,显示220v,测零线时显示电压低于50v。 用电笔测火线零线的方法是:大指母和中指执电笔,食指按住笔帽或笔挂(勿接触头部金属笔...
阅读更多 -
光强与温度对太阳能电池的影响关系
光强与温度对太阳能电池的影响关系 光强与温度这两个因素,也影响着太阳能电池的电压、电流特性。 光强200W/m2 时:开路电压为0.5V,短路电流密度5.2mA/cm2. 光强400W/m2 时:开路电压为...
阅读更多 -
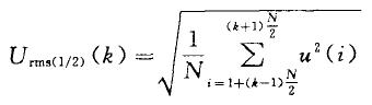
电压暂降与短时中断的测量计算公式
电气技术
电压方均根的计算方法 为了检测电压暂降和短时中断,需要计算各相电压方均根值。电压方均根值有两种计算方法,分别是:半周波刷新电压方均根值(Urms(1/2))和每周波刷新电压方均根...
阅读更多
点击排行
室内风扇电机和霍尔元件的检测