变频技术
变频技术
-
变频器SPWM的电流波形
变频技术
SPWM 的电流波形如图 2-17 所示,它是有谐波分量的。这些谐波电流的主要影响有: (1) 电流的谐波分量将产生附加转矩,使电动机轴上的有效输出转矩减小。 (2) 谐波电流中的载波频率分...
阅读更多 -
对变频器控制线的布置有什么要求?
变频技术由于主电路的电流具有较强的高次谐波成分,容易干扰控制电路的工作。所以: ①控制线与主电路间的距离应不小于 100mm ; ②所有控制线,都应采用屏蔽线。屏蔽线靠近变频器一侧的...
阅读更多 -
变频器的输出端为什么不能接入电容器以改善通
变频技术因为变频器的输出电压是矩形脉冲序列,含有很多高次谐波成分。由于电容器在高次谐波下的容抗较小,高次谐波电流较大,这一方面加重了逆变晶体管的负担,另一方面电容器本身也...
阅读更多 -
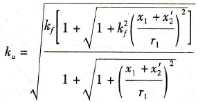
变频器V/F控制的概念
变频技术
1 .基本思想。针对 ku=kf 下降时,△ Ux 在 Ux 中所占比例增大,造成 M 和 TKX 下降的情况,采取适当提高调压比而使 kukf 的方法来抵偿比值 AUx/Ux 的增大,而保持 M= K Ex/fx=const ,最终使电...
阅读更多 -
变频器连接地线时应注意什么问题?
变频技术
变频器的正确接地是提高变频调速系统灵敏度、抑制噪声能力的重要手段,变频器连接地线时应注意以下几个方面。 ①接地线应尽量粗一些,接地点与变频器间的距离应尽量短。 ②变...
阅读更多 -
不采用软启动,将电动机直接投入到某固定频率
变频技术在很低的频率下是可以的,但如果给定频率高则同工频电源直接启动的条件相近,将流过大的启动电流( 6 ~ 7 倍额定电流),变频器判断为过电流,保护动作,则电动机不能启动。...
阅读更多 -
变频器V/F控制功能
变频技术
所谓 V/F 控制功能,就是通过控制变频器输出部分的 ku/kf 值,使电动机的转矩得到不同程度的补偿,以满足生产机械的要求。 1 .几种具体情况 (1) 式 (2-25) 表明,全补偿的 U/f 线与电动...
阅读更多 -
变频器与电动机之间的距离最多允许多长?
变频技术
由于变频器的输出电压是高压脉冲系列,其频率等于载波频率,峰值等于直流回路电压 ( 513V) ,当变频器和电动机之间的连接线很长时,导线的分布电感和线间分布电容的作用将不可忽...
阅读更多 -
电动机的额定频率为50/60Hz,实现变频调速时如何
变频技术
基准频率指与最大输出电压对应的频率,分析如下。 ①电动机额定转速计算 由式可看出,当电动机极对数 np 、额定转差率 sN 一定时,频率高,则转速高。 ②电动机额定输出转矩计算...
阅读更多 -
变频器主电路控制开关及导线线径选择
变频技术
1 .电源控制开关及导线线径选择 电源控制开关及导线线径的选择与同容量的普通电动机选择方法相同,按变频器的容量选择即可。因输入侧功率因数较低,应本着宜大不宜小的原则选...
阅读更多
