变频技术
变频技术
-
电动机侧电磁接触器和工频电网切换用接触器的
变频技术变频器和工频电网的切换运行是相互联锁的,可以防止变频器的输出端接到工频电网上。一旦出现变频器的输出端误接到工频电网的情况,将会损坏变频器。对具有内置工频电源切换功...
阅读更多 -
什么情况下,可以考虑加大变频器的容量?
变频技术这里所说的加大变频器的容量,是相对于变频器的配用电动机容量等于实际电动机容量而言的。大体上说,可归纳如下。 ①变频器的额定电流偏低 如上述,部分变频器的额定电流小于...
阅读更多 -
什么情况下变频器前端必须加输入电抗器?
变频技术
为保证变频器可靠运行,在下列工作环境中的变频器前端必须要安装输入电抗器。 ①为变频器供电的电源容量大于 600kV A 或电源容量与变频器容量之比为 10 : 1 及以上,且变频器安装...
阅读更多 -
怎么选择输入电抗器?
变频技术
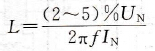
①基本原则 当输入电流等于额定值时,输入电抗器上的压降应不超过额定电压的 (2 ~ 5)% 。 ②容量的计算 计算公式为: 式中 L- 交流电抗器的电感, H; UN- 变频器的额定电压, V; IN- 变...
阅读更多 -
负载的最大工作频率为40Hz,能否选容量较小的变
变频技术根据负载的性质决定。 ①恒功率负载 在负载下降时,负载的功率并不减小,所以变频器的容量不能减小。 ②恒转矩负载 转速下降时,负载的转矩不变,则电动机的工作电流并不减小,...
阅读更多 -
滤波器的作用是什么?
变频技术
变频器中要进行大功率二极管整流、大功率晶体管逆变,结果是在输入输出回路产生电流高次谐波,干扰供电系统、负载及其他邻近电器设备。因此在实际使用过程中,变频器的输入和...
阅读更多 -
一台变频器带多台电动机时,如何选定变频器容
变频技术一台变频器并联驱动多台电动机,多台电动机额定容量的总和在变频器的额定输出电流以下,并保留 10% 裕量。注意电动机在运行过程中,多台电动机应该同时启停,而不要中途投入或...
阅读更多 -
怎么选择变频器的输入和输出滤波器?
变频技术
各厂家变频器输入、输出滤波器的选取值不尽相同。对于 RNB3000 系列变频器,电源额定电压为 380V ,其三相输入滤波器的数据见表 5-2 ,三相输出滤波器的数据见表 5-3 。 表 5-2 输入滤波...
阅读更多 -
想使两台2.2KW、4极电动机顺序启动。用一台变频
变频技术如果两台 2. 2kW 的电动机同时启动、同时停止,设 2.2kW 的额定电流为 10A ,那么以两倍电流 20A 计算用 5.5kW( 额定电流为 24A) 的变频器就足够了。顺序启动时,第 2 台所需要的电流,相当...
阅读更多 -
输入和输出滤波器有什么区别?
变频技术
①线圈的匝数不同 变频器输入电流中,高次谐波分量的频率并不高,故输入滤波器线圈的匝数稍多;而输出电流中高次谐波分量的频率较高,等于载波频率,故输出滤波器线圈的匝数可...
阅读更多
