电气技术
电气技术
-
电流滞后电压怎么理解?如何判断电流领先滞后
电流滞后电压怎么理解?如何判断电流领先滞后 是指在交流电路中,由于有感抗的成在电流是不能突变的,它的相位要滞后电压的相位 电流滞后是相对于电压说的,一般是在感性回路中...
阅读更多 -
电气线路现场安装与调试经验
电气技术
电气线路现场安装与调试经验 我们的 电工 在进行设备线路的布线,工程已进展到线路调试阶段。这次我让这几位电工放开手去安装去调试,发现他们的思路不是很清晰,促使我写下此...
阅读更多 -
法拉第电磁感应定律教学感想
法拉第电磁感应定律教学感想 对于物理这门课程,很多人都认为这是非常枯燥乏味的学科。要想搞活课堂气氛、运用灵活多变的教学手段提高教学质量,比较困难。在此,我以法拉第电...
阅读更多 -
电工的基础知识及电路符号大全
电工的基础知识及电路符号大全 一、电工必备基础知识 1、左零右火。 2、三相五线制用颜色黄、绿、红、淡蓝色分别表示U、V、W、N 保护接地线双颜色(PE)。 3、变压器在运行中,变...
阅读更多 -
电压与电流的相位差怎么求
电气技术
电压与电流的相位差怎么求 前面两节课中所讲到的如上图所示的波形图是一种特定波形:即t=0时,e=0。 而实际中,t=0时,e不一定为零,如右图所示:因此,一般正弦交流量的瞬时表达...
阅读更多 -
楞次定律和法拉第电磁感应定律的应用
楞次定律和法拉第电磁感应定律的应用 1. 楞次定律 (1)内容:感应电流具有这样的方向,即感应电流的磁场总是要阻碍引起感应电流的磁通量的变化。 (2)说明:楞次定律含有两层...
阅读更多 -
差动保护带负荷测试内容
差动保护带负荷测试内容有两项: 一是差动回路六角相位,以判别差另回路接线的正确性; 二是继动继电器执行元件线圈两端电压(简称差压),用来检验是否误整定,包括计算正确...
阅读更多 -
电流电压如何测相位差
电流电压如何测相位差 电压与电流的相位角测量有许多方法,用模拟电路的方法常用的有检相电路,精度较差,受元件参数的变化有较大的误差,常用于相角表中。数字相角测量常用的...
阅读更多 -
电源线美国火线零线_美规电源线零线火线
电源线美国火线零线_美规电源线零线火线 上面有英语标识的,你可以看火线(标志字母为L Live Wire),零线(标志字母为NNeutral wire),顺序是左零右火,地线(Earth wire)。 美国电线颜...
阅读更多 -
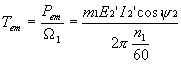
电磁功率物理表达式
电气技术
电磁功率是主磁通与转子电流有功分量相互作用产生的。从电磁功率与电磁转矩的关系推导: 式中,是转子功率因数角;CT为转矩常数,对已制成的电机来说是不变的常数。 式(ZJ....
阅读更多
点击排行
室内风扇电机和霍尔元件的检测