电气技术
电气技术
-
零序电流是怎么产生的?零序电流产生条件
零序电流是怎么产生的?零序电流产生条件 零序电流是指在三相三线电路中,三相电流的相量和等于零,即Ia+Ib+Ic=0。 如果在三相三线中接入一个电流互感器,这时感应电流为零。当电路...
阅读更多 -
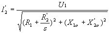
电磁转矩参数表达式推导
电气技术
物理表达式说明了产生电磁转矩的条件,所推导出的转矩表达式也具有明显的物理意义,然而,在对电机进行具体分析时通常希望表达式能直观地反映外加电压、电机参数对转矩的影响...
阅读更多 -
无功补偿控制器的分类及选型
无功补偿控制器的分类及选型 一、无功补偿控制器的分类 无功补偿控制器按工作电压分为高压无功补偿控制器和低压无功补偿控制器 1.高压控制器:一般适用于 等工频输配电系统中或...
阅读更多 -
软起动器常用的起动方式
电气技术
软起动器常用的起动方式 软起动常用的几种起动方式: 1、限流起动 电动机起动时,软起动器输出电压从零迅速增加,直到输出电流上升到设定的限流值Iq,在输出电流不大于Iq下,电...
阅读更多 -
svg无功补偿装置原理
svg无功补偿装置原理 无功功率的存在,使得电力输配电系统和重工业应用领域面临着各种各样的问题和挑战。电力输配电面临电压波动、低功率因数以及电压失稳等问题;重工业应用,...
阅读更多 -
软起动常用停机方式
电气技术
软起动常用停机方式 自由停车 传统的控制方式都是通过瞬间停电完成的,即惯性停车(断电自停)。 软停车 如图(五)所示,在停车信号发出后,软起动器输出电压从额定电压Ue迅速...
阅读更多 -
软起动器基本接线示意图
电气技术
软起动器应用领域可以涵盖工农业生产中的异步电动机传动设备,原则上凡不需要调速的各种应用场合都可适用,特别适用于各种泵类负载或风机类负载,需要软起动与软停车的场合。...
阅读更多 -
三相五线制电力规范
三相五线制电力规范 1.由中性点直接接地的专用变压器供电的施工现场,必须采用TN s保护接零系统(用电设备的金属外壳必须采用保护接零),专用保护接零线的首、末端及线路中间必须...
阅读更多 -
用电负荷等级划分标准
一、根据国标GB5005295《供配电系统设计规范》,对电力负荷的分级规定如下: 1、符合下列情况之一的应为一级负荷: 1.1 中断供电将造成人身伤亡事故的; 1.2 中断供电将在政治、经济...
阅读更多 -
三相五线制零线接线要求
三相五线制零线接线要求 1.在用绝缘导线布线时,保护零线应用黄绿双色线,工作零线一般用黑色线。沿墙布线时垂直布线保护零线设在最下端,水平布线保护零线在靠墙端。 2.在电力...
阅读更多
点击排行
室内风扇电机和霍尔元件的检测